Kromě videí tam také najdete cvičení, personalizovanou výuku, nástroje pro učitele a mnoho dalšího!
Nebo si stáhněte mobilní aplikaci pro Android
nebo iOS.
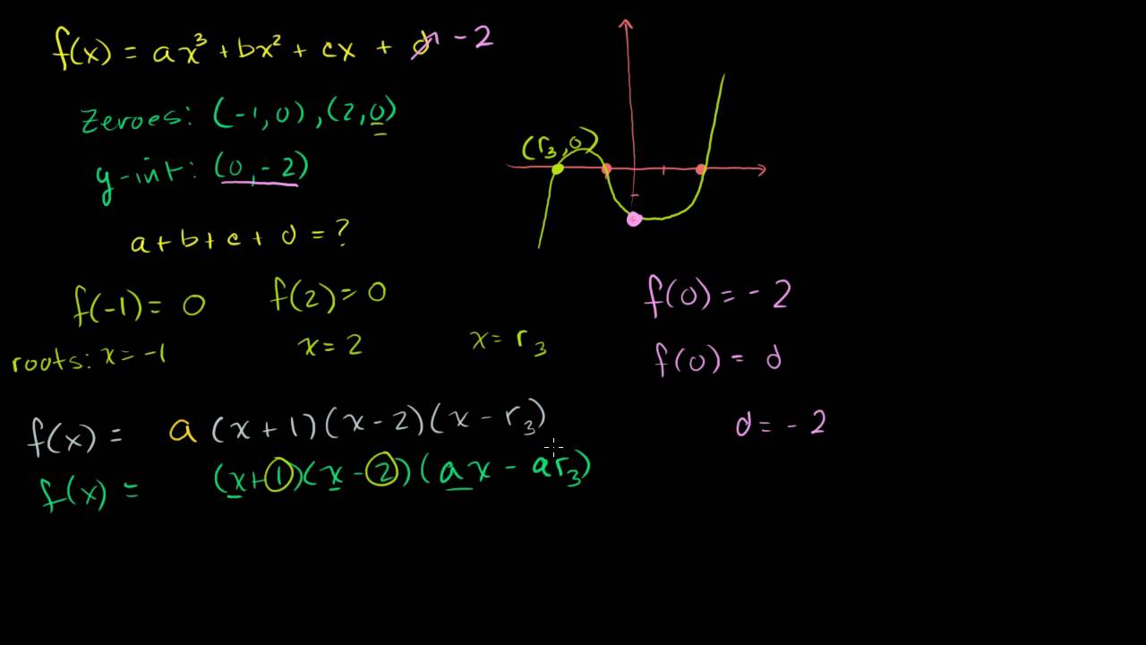
Zajímavý úkol s koeficienty polynomu
Hledání koeficientů polynomu třetího stupně, když jsou dány 2 kořeny a průnik s osou y
0:00
16:16
Nahlášení chyby
Mockrát děkujeme!
Někdo z nás se na to zkusí co
nejdřív kouknout a vyřešit to.