Kromě videí tam také najdete cvičení, personalizovanou výuku, nástroje pro učitele a mnoho dalšího!
Nebo si stáhněte mobilní aplikaci pro Android
nebo iOS.
Rovnice a nerovnice s absolutní hodnotou (3/10) · 6:19
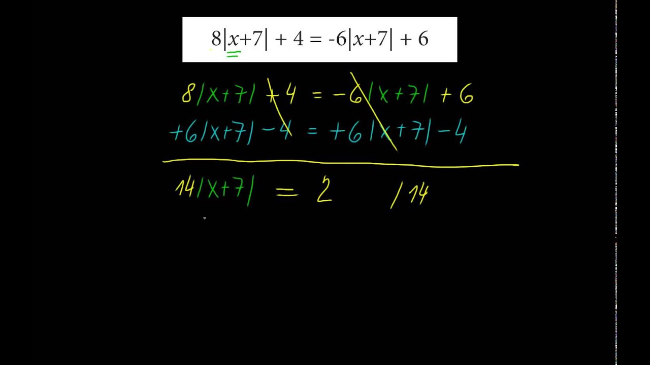
Rovnice se dvěma stejnými absolutními hodnotami
Na konkrétním příkladě si procvičíme, jak si poradit s rovnicí, která je zadaná se dvěma stejnými absolutními hodnotami.
Navazuje na
Rovnice s neznámou pod odmocninou.
0:00
6:19
Nahlášení chyby
Mockrát děkujeme!
Někdo z nás se na to zkusí co
nejdřív kouknout a vyřešit to.